You have no items in your shopping cart.
Description
Research Area
Metabolism Research
Images & Validation
−
| Application Notes |
|---|
Key Properties
−| Reactivity | Mouse |
|---|---|
| Sample Types | serum, plasma, cell lysates, cell culture supernates and other biological fluids |
| Assay Type | Competitive |
| Assay Time | 3.5h |
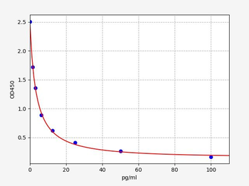
| Range | 46.88-3000 pg/mL |
| Sensitivity | 12.2 pg/mL |
| Concentration | 3000 pg/mL |
Storage & Handling
−| Storage | Refer to the Storage Guidelines in the Manual |
|---|---|
| Expiration Date | 6 months from date of receipt. |
| Disclaimer | For research use only |
Alternative Names
−NEUT; neuromedin N; NN; NT; NT/N; NTS1; NMN-125
Similar Products
−Mouse NTS ELISA Kit [orb408427]
Mouse
6.25 pg/mL-400 pg/mL
1.56 pg/mL
24 T, 48 T, 10 x 96 T, 96 T, 5 x 96 T

Quality Guarantee
Explore bioreagents carefree to elevate your research. All our products are rigorously tested for performance. If a product does not perform as described on its datasheet, our scientific support team will provide expert troubleshooting, a prompt replacement, or a refund. For full details, please see our Terms & Conditions and Buying Guide. Contact us at support@biorbyt.com.
Quick Database Links
UniProt
UniProt Details
− No UniProt data available
Protocol Information
Mouse Neurotensin (NTS) ELISA Kit (orb2303012)
Based on 0 reviews
Participating in our Biorbyt product reviews program enables you to support fellow scientists by sharing your firsthand experience with our products.
Login to Submit a Review
