You have no items in your shopping cart.
Human IFN-alpha 1 Protein, His Tag
Description
Research Area
Images & Validation
−| Application Notes |
|---|
Key Properties
−| Expression System | HEK293 |
|---|---|
| Target | IFN-alpha 1 |
| Reactivity | Human |
| Tag | C-10×His |
| Molecular Weight | 21.3 kDa |
| Expression Region | Cys 24 - Glu 189 |
| Purity | 95% |
| Endotoxins | 1.0 EU per μg |
| Conjugation | Unconjugated |
Storage & Handling
−| Storage | -20°C to -70°C for 12 months in lyophilized state;. -70°C for 3 months under sterile conditions after reconstitution. For long term storage, the product should be stored at lyophilized state at -20°C or lower |
|---|---|
| Form/Appearance | Powder |
| Buffer/Preservatives | PBS, pH 7.4 |
| Disclaimer | For research use only |
Similar Products
−
Quality Guarantee
Explore bioreagents carefree to elevate your research. All our products are rigorously tested for performance. If a product does not perform as described on its datasheet, our scientific support team will provide expert troubleshooting, a prompt replacement, or a refund. For full details, please see our Terms & Conditions and Buying Guide. Contact us at support@biorbyt.com.

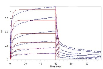
Loaded Human IFN-alpha 1, His Tag (Cat. No. orb735041) on HIS1K Biosensor, can bind Human IFNAR1, Fc Tag (Cat. No. orb257558) with an affinity constant of 0.191 μM as determined in BLI assay (ForteBio Octet Red96e) (Routinely tested).
Quick Database Links
UniProt Details
−Documents Download
Request a Document
Protocol Information
Human IFN-alpha 1 Protein, His Tag (orb735041)
Participating in our Biorbyt product reviews program enables you to support fellow scientists by sharing your firsthand experience with our products.
Login to Submit a Review



